- Информация
- Мероприятия
- О школе
- Отчет 1 жарты жылдық 2025-2026 ж
- Психолог жұмыстары
- История школы
- Здание школы
- Музей школы
- Отдел воспитания
- Администрация школы
- Школьные объединения
- Предметное объединение казахского языка и лит.
- Предметное объединение Русский язык и литература
- Объединение предметов английского языка
- Первичное предметное объединение
- Миф предметное объединение
- Предметное объединение Химия, биология
- Предметное объединение история, география
- Объединение пред, физической культуры, НВП, художс
- Наши достижения
- Мұғалімдер жетістіктері
- 2022-2023 Халықаралық жетістіктер
- 2022-2023 Республикалық жетістіктер
- 2022-2023 Облыстық жетістіктер
- 2022-2023 Аудандық жетістіктер
- Аудандық жетістіктер
- Облыстық жетістіктер
- Республикалық жетістіктер
- Халықаралық жетістіктер
- Бірлестік жетістіктері
- Мұғалімдер халықаралық ғылыми жобалары
- Мұғалімдер республикалық ғылыми жобалары
- Мұғалімдер облыстық ғылыми жобалары
- Мұғалімдер аудандық ғылыми жобалары
- Біздің мақтаныштарымыз
- Оқушылар жетістіктері
- Мектепшілік слет
- Мұғалімдер жетістіктері
- Администрация
- Преподаватели
- Методика и опыт
- Нормативные документы
- ТВ-Видео
- Школьникам
- Родителям
- Питание
- Открытый бюджет
- Открытый орган
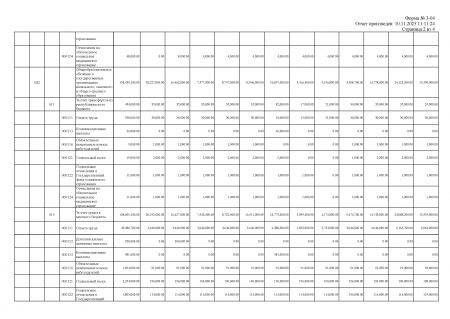
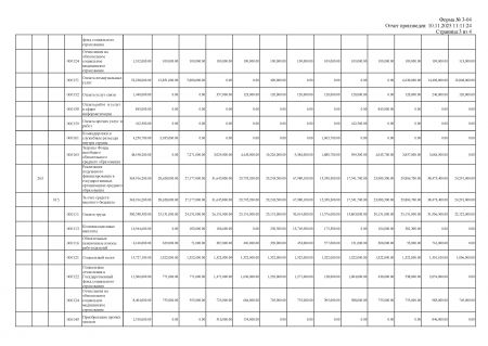
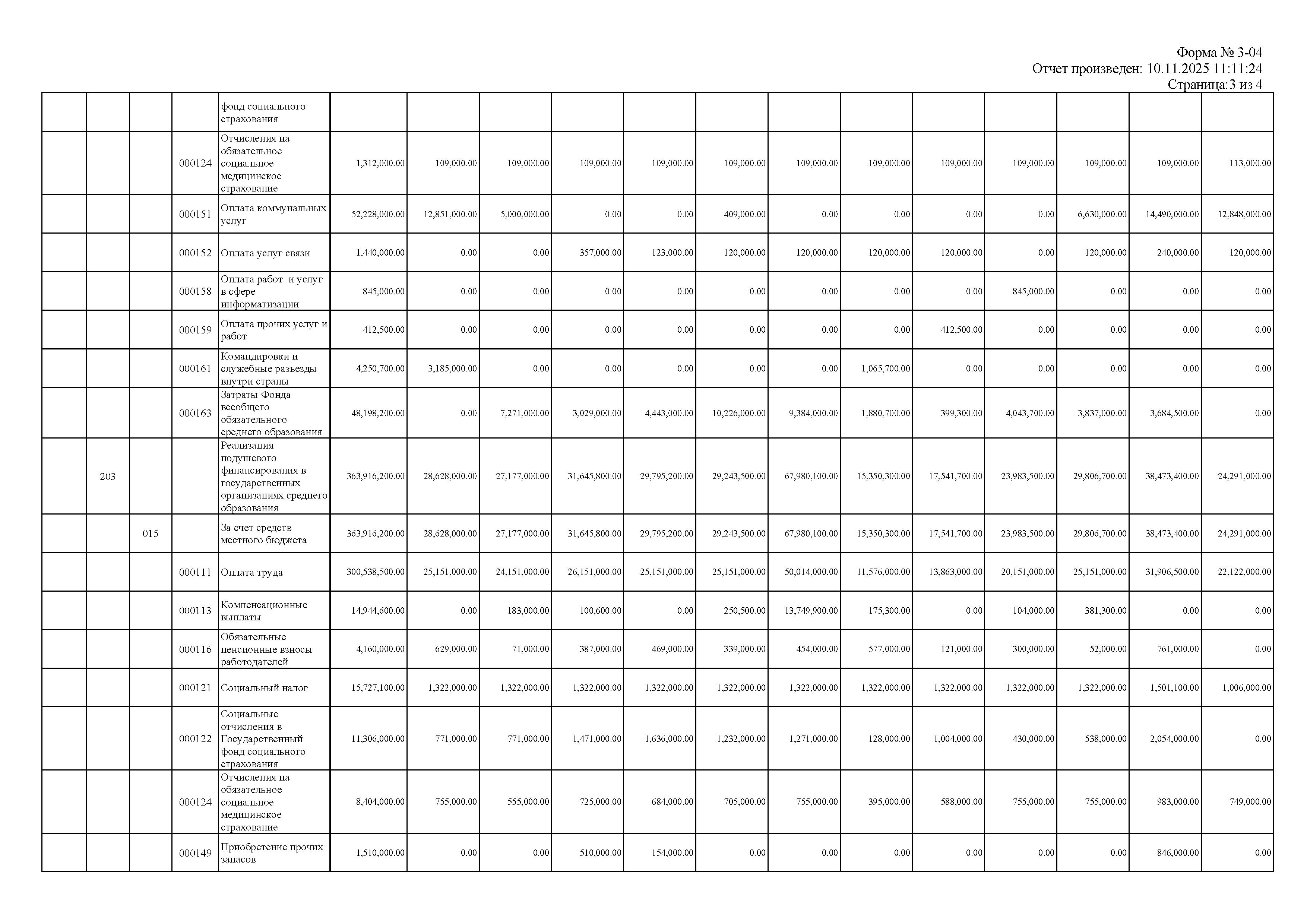
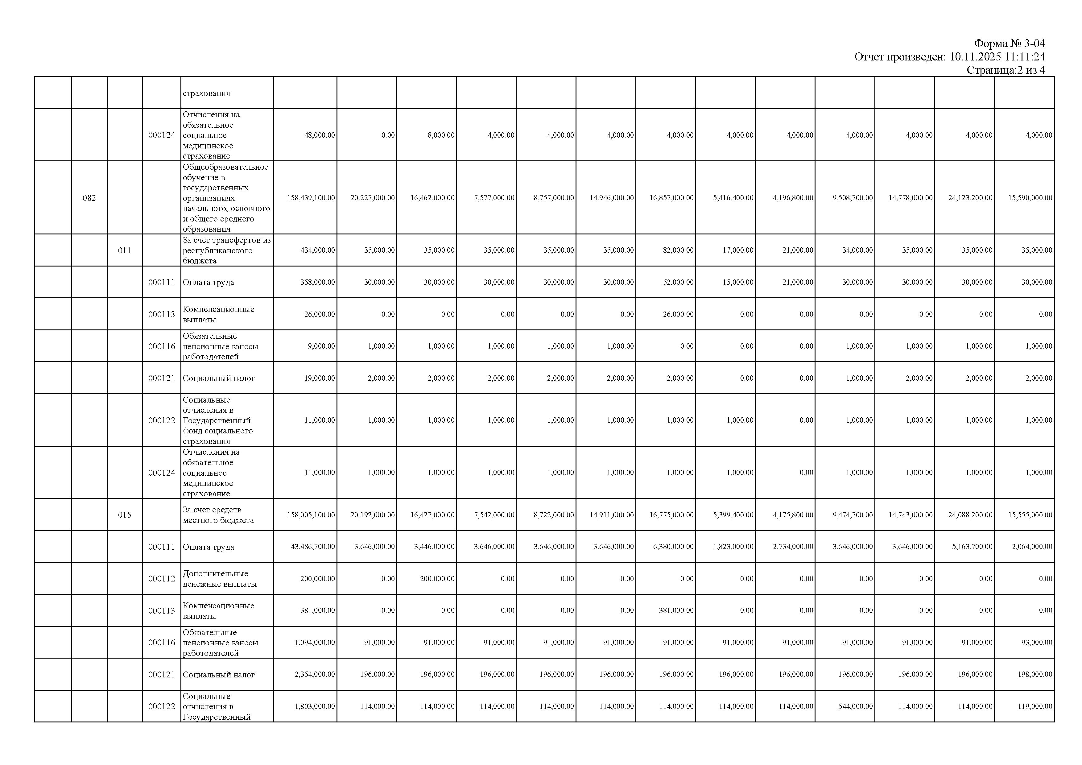
Мектеп сайты » Открытый бюджет » Индивидуальный план финансирования » Индивидуальный план финансирования по платежам (3 квартал 2025 года)












